工程力学百科

应力偏斜张量

2023-05-15

英文

stress deviatoric tensor

简介

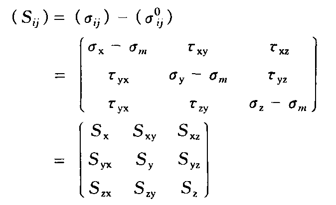
又称应力偏量。从应力张量中减去应力球形张
量而得到的一个张量。可写成

它是二阶对称张量,其主轴方向与主应力方向一
致。物体形状的变化是由应力偏量引起的。