英文
time-mean method
简介
全称时间平均法。按运动要素时间平均值分析
湍流运动规律的方法。它是一种以时间为权数的加
权统计平均法,湍流运动要素均用时间平均量和脉
动量表达

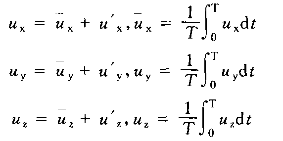
式中ux、uy、uz为流体质点流速在笛卡尔坐标中
的三个分量;
为时均流速分量;u′z、u′y、u′z为脉动流速分量;t为时间;T为统计平
均时段值。实验证明,当T足够长时,
x、
y、
z趋稳定值(可视为常数)。因此,对于时间平均
值,湍流可分为恒定流与非恒定流两大类。湍流属
于非恒定流,但对时均值的恒定湍流,仍可用一般
的恒定流理论,对于非恒定湍流,也可采用逐段时
均法分析。此法大大简化了对湍流的分析,故广为
流行,但采用时均值只能描述流体的总体运动,不
能反映流体的脉动影响。