英文
Prandtl-Glauert rule
简介
关于亚声速流中流体的压缩性对物面压强分布
影响的法则。它为普朗特-格劳厄脱先后提出,故
名。压强分布常以物面各点的压力系数表示。对于
二维无粘性定常亚声速流动,按此法则,压力系数
可从低速流中对应点的压力系数求出,关系式如下

式中Cp为压力系数; Ma∞为物体远前方的气流马
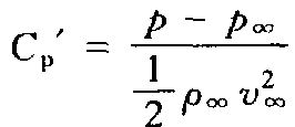
赫数; Cp′为低速流对应点的压力系数; 其定义为
,其中p、p∞、ρ∞、 ν∞分别为任
一点的当地压强,物体远前方自由来流的压强、密
度和速度。在超声速流动中,只要把上式
改写为
, 即为阿克莱特法则。