英文
differential equation of equilibrium
简介
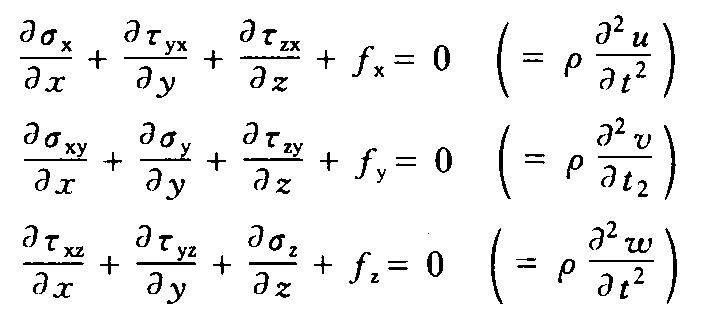
又称纳维方程。处于平衡状态的物体,在内
部任意一点附近微体积上的应力与该点处的体力之
间所必须满足的条件。设采用笛卡尔坐标系,取单
元体如图所示,由于应力是点的空间位置的连续函
数,因此平行微分面上的应力分量如图所示。单位
体积的体力分量为fx、fy、fz,由作用于该平行六
面体上力的平衡条件得


若物体内质点处于运动状态,则上式右端应取括号
内的项,其中ρ为材料的密度,u、v、w为物体
内一点的位移矢量在三个坐标轴方向的分量,
、
、
则表示加速度矢量的三个分量。
利用张量符号可写成

其中σij.j表示应力分量对坐标的偏导数,例如σyx.x
等。 若物体处于平衡状态, 则在静力学上必
须同时满足平衡微分方程与应力边界条件。