工程力学百科

欧拉平衡微分方程

2023-05-14

英文

differential equilibrium equation of Euler

简介

表征流体处于平衡状态时压强的变化率和单位
质量力之间的关系式。此式由欧拉于1775年导
出,故名。对于笛卡尔坐标系,其三轴分量关系式

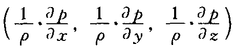
1/ρ·∂p/∂x-X=0

1/ρ·∂p/∂y-Y=0

1/ρ·∂p/∂z-Z=0

式中X,Y,Z为单位质量力的三轴分量; p为压
强; ρ为密度。此式表明,在平衡的流体中,对
于单位质量的流体,质量力 (X,Y,Z) 和表面
力()对应相等。