英文
displacement function of torsion
简介
又称圣维南函数或翘曲函数。以位移为基本未
知量求解扭转问题时表示位移分量的函数。利用半
逆解法时,在小变形情况下,可以认为x和y方向
的位移u和v是由截面作整体转动引起的,因此
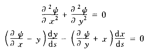
有u=-θzy, v=θzx, 并假设ω=θ=(x,y),其
中θ为单位长度的扭转角; (x,y)为扭转位移函
数,由拉梅-纳维方程和侧面边界条件可推知它应
满足

其中s为边界的周向长度。 求得(x, y)后可以求
得位移分量,而应力分量为

其中G为剪切模量; θ由区域为A的端面上的边
界条件求得,即
