英文
excess load
简介
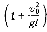
又称超重。物体加速运动时对支承物的压力超
过静止时所产生的静压力的现象。动压力的最大值
与静压力的比值称为动荷系数或过载系数。例如用
绳索吊着重P的重物的行车以匀速v0沿水平桥架
移动时,若突然刹车,则吊索中的最大张力将为P
,动荷系数即为1+υ02/gl,式中l为吊索长
度,g为重力加速度。
工程力学百科
2023-05-13
excess load
又称超重。物体加速运动时对支承物的压力超
过静止时所产生的静压力的现象。动压力的最大值
与静压力的比值称为动荷系数或过载系数。例如用
绳索吊着重P的重物的行车以匀速v0沿水平桥架
移动时,若突然刹车,则吊索中的最大张力将为P
,动荷系数即为1+υ02/gl,式中l为吊索长
度,g为重力加速度。