英文
natural-coordinate method for motion of a particle
简介

又称弧坐标法。用弧坐
标表示点的运动的方法。为研
究点的运动常用方法之一。设
点沿已知轨迹曲线运动,在该
曲线上任选一原点O并规定
曲线在其两侧的正负方向,则点在某瞬时的位置M
可由弧s=
M的代数值唯一地确定。代数量s称为
点的弧坐标,它可表为时间t的单值连续函数
s=f(t)
称之为点沿已知轨迹的运动方程。此时点的速度
![]()
式中τ为沿轨迹正向的切线单位矢量。点的加速
度

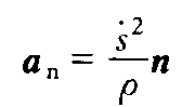
式中aτ=
τ为切向加速度,
为法向加速
度,ρ为轨迹在M处的曲率半径,n为轨迹在M
处主法线方向的单位矢量。由此可确定点的加速度
大小和方向
![]()