英文
body force of unit mass
简介
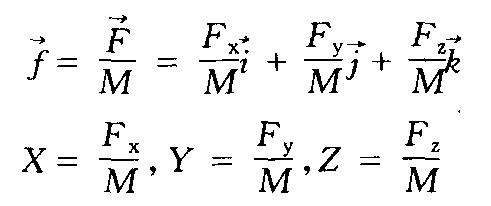
又称单位体积力。作用于每一单位质量物体、
流体上的质量力。对于流体它的量纲为[L/T2],单
位为m/s2。设流体的质量为M,所受的质量力为
F,它在笛卡尔坐标系中的三个分量为Fx、Fy、Fz,
则有
式中、X、Y、Z分别为单位质量力及其在各坐标轴
上的分量;i,j,k为沿三坐标轴方向的单位矢量。
在流体的平衡与运动分析中常引用这一概念。
工程力学百科
2023-05-12
body force of unit mass
又称单位体积力。作用于每一单位质量物体、
流体上的质量力。对于流体它的量纲为[L/T2],单
位为m/s2。设流体的质量为M,所受的质量力为
F,它在笛卡尔坐标系中的三个分量为Fx、Fy、Fz,
则有
式中、X、Y、Z分别为单位质量力及其在各坐标轴
上的分量;i,j,k为沿三坐标轴方向的单位矢量。
在流体的平衡与运动分析中常引用这一概念。