英文
sideslope coefficient
简介
梯形渠道边坡与水平面夹角α的余切,常以符
号m表示,即m=ctga。m值的大小取决于渠道
的土壤性质,由土力学实验研究确定。沙土m=
3.0~3.5,未风化的岩石可取m =0~0.25,利用边
坡系数,则梯形断面水力要素可用下式表示
B=b+2mh
ω=(b+mh)h
x=b+2h
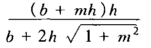
R=ω/x=
式中B为水面宽度;ω为过水断面面积;x为断面
湿周;R为水力半径;b为梯形渠道的底宽;h为断
面水深。对于矩形断面,m=0。
工程力学百科
2023-05-11
sideslope coefficient
梯形渠道边坡与水平面夹角α的余切,常以符
号m表示,即m=ctga。m值的大小取决于渠道
的土壤性质,由土力学实验研究确定。沙土m=
3.0~3.5,未风化的岩石可取m =0~0.25,利用边
坡系数,则梯形断面水力要素可用下式表示
B=b+2mh
ω=(b+mh)h
x=b+2h
R=ω/x=
式中B为水面宽度;ω为过水断面面积;x为断面
湿周;R为水力半径;b为梯形渠道的底宽;h为断
面水深。对于矩形断面,m=0。